2015年成人高考专升本高等数学一考试真题及参考答案2
导读:坦途网为大家编辑整理了【2015年成人高考专升本高等数学一考试真题及参考答案】,希望对大家有所帮助。更多考试内容请关注坦途网成人高考频道!
>>成考考试题库:2015年成人高考专升本高等数学一考试真题及参考答案
三、解答题:本大翘共8个小题,共70分。解答应写出推理,演算步骤。
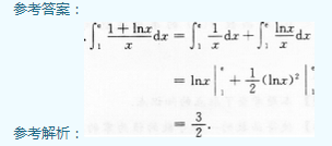
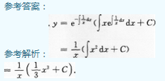
第26题 设二元函数z=x2+xy+y2+x-y-5,求z的极值.
未完待续,更多考试资料请关注坦途网成人高考频道!
温馨提示:因考试政策、内容不断变化与调整,坦途网提供的以上信息仅供参考,如有异议,请考生以权威部门公布的内容为准!
- 2019成人高考专升本高数一复习508-20
- 2019成人高考专升本高数一复习408-20
- 2019成人高考专升本高数一复习308-20
- 2019成人高考专升本高数一复习208-20
成人高考培训课程免费试听
