2014一级建造师考试《项目管理》真题答案5
>>一级建造师考试真题:2014一级建造师考试《项目管理》真题答案5
二、多项选择题(共30题,每题2分。每题的备选项中,有2个或2个以上符合题意,至少有1个错项。错选,本题不得分;少选,所选的每个选项得0.5分)
71、 根据《建设工程监理规范》(GB/T 50319—2013),工程建设监理实施细则除应反映专业工程的特点外,还应包括( )等内容。
A.监理工作流程
B.项目监理机构的组织形式
C.监理工作的方法和措施
D.监理工作依据
E.监理工作的控制点及目标值
72、根据《建设工程施工合同(示范文本)》(GF—2013—0201),发包人责任和义务有( )。
A.办理建设工程施工许可证
B.办理建设工程规划许可证
C.办理工伤保险
D.提供场外交通条件
E.负责施工场地周边的环境保护
73、单位工程竣工成本分析的内容包括( )。
A.专项成本分析
B.竣工成本分析
C.成本总量构成比例分析
D.主要资源节超对比分析
E.主要技术节约措施及经济效果分析
74、工程项目管理信息系统中,进度控制的功能有( )。
A.编制资源需求量计划
B.根据工程进展进行施工成本预测
C.进度计划执行情况的比较分析
D.项目估算的数据计算
E.确定关键工作和关键路线
75、项目进度控制时,进度控制会议的组织设计的内容有( )。
A.会议的具体议程
B.会议的类型
C.会议的主持人
D.会议的召开时间
E.会议文件的整理
76、对建设周期一年半以上的工程项目,采用变动总价合同时,应考虑引起价格变化的因素有( )。
A.银行利率的调整
B.材料费的上涨
C.人工工资的上涨
D.国家政策改变引起的工程费用上涨
E.设计变更引起的费用变化
77、我国投标担保可以采用的担保方式有( )。
A.银行保函
B.信用证
C.担保公司担保书
D.同业担保书
E.投标保证金
78、根据《建筑施工组织设计规范》(GB/T 50502—2009),以分部(分项)工程或专项工程为主要对象编制的施工方案,其主要内容包括( )。
A.工程概况
B.施工部署
C.施工方法和工艺要求
D.施工准备与资源配置计划
E.施工现场平面布置
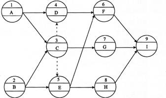
79、某单代号网络图如下图所示,存在的错误有( )。
A.多个起点节点
B.有多余虚箭线
C.出现交叉箭线
D.没有终点节点
E.出现循环回路
80、施工单位向建设单位申请工程竣工验收的条件包括( )。
A.完成设计和合同约定的各项内容
B.有完整的技术档案和施工管理资料
C.有施工单位签署的工程保修书
D.有工程质量监督机构的审核意见
E.有勘察、设计、施工、监理等单位分别签署的质量合格文件
1、 下列施工现场环境保护措施中,属于空气污染防治措施的有( )。
A.指定专人定期清扫施工现场道路
B.化学药品库内存放
C.施工现场不得无故摔打模板
D.工地茶炉采用电热水器
E.使用封闭式容器处理高空废弃物
82、根据《工程建设项目施工招标投标法》,工程施工项目招标信息发布时,正确的有( )。
A.指定媒介可以酌情收取费用
B.招标文件售出后不予退还
C.招标人应至少在两家指定的媒介发布招标公告
D.招标人可以对招标文件所附的设计文件向投标人收取一定费用
E.自招标文件出售之日起至停止出售之日止,最短不得少于5个工作日
83、根据《建设项目工程总承包管理规范》(GB/T 50358—2005),工程总承包项目管理的主要内容包括( )。
A.任命项目经理,组建项目部
B.实施设计管理
C.实施采购管理
D.进行项目可行性研究并报批
E.进行项目范围管理
84、根据法律和合同,对施工单位的施工质量行为和效果实施监督控制的相关主体有( )。
A.建设单位
B.监理单位
C.设计单位
D.材料设备供应商
E.政府的工程质量监督部门
85、施工单位的项目管理任务分工表可用于确定( )的任务分工。
A.项目各参与方
B.项目经理
C.企业内部各部门
D.企业内部各工作人员
E.项目各职能主管工作部门
86、下列建设工程项目风险中,属于组织风险的有( )。
A.人身安全控制计划
B.工作流程组织
C.引起火灾和爆炸的因素
D.任务分工和管理职能分工
E.设计人员和监理工程师的能力
87、施工总承包管理模式与施工总承包模式相比,其优点有( )。
A.整个项目合同总额的确定较有依据
B.投标人的报价较有依据
C.可以为分包单位提供更好的管理和服务
D.有利于业主节约投资
E.可以缩短建设周期
88、质量管理方法中,直方图的分布区间宽窄取决于其质量特性统计数据的( )。
A.平均值
B.中位数
C.极差
D.标准偏差
E.变异系数
89、按事故责任分类,工程质量事故可分为( )。
A.指导责任事故
B.管理责任事故
C.技术责任事故
D.操作责任事故
E.自然灾害事故
90、根据《质量管理体系基础和术语》(GB/T 19000--2008/IS09000:2005),企业质量管理体系文件由( )构成。
A.质量方针和质量目标
B.质量记录
C.质量报告
D.质量手册
E.程序性文件
坦途网一级建造师考试频道建议,在完成一次系统的知识梳理之后,真题练习是必不可少的环节。从真题中总结考试方向、检验学习效果、查漏补缺,有序的进行备考才能提升一级建造师考试通过率,那么,你准备好了吗?
温馨提示:因考试政策、内容不断变化与调整,坦途网提供的以上信息仅供参考,如有异议,请考生以权威部门公布的内容为准!
- 2018一级建造师项目管理考试真题第6篇09-18
- 2018一级建造师项目管理考试真题第5篇09-18
- 2018一级建造师项目管理考试真题第4篇09-18
- 2018一级建造师项目管理考试真题第3篇09-18
